回溯法

基本概念

类似枚举的搜索尝试过程,主要是在搜索尝试过程中寻找问题的解,当发现已不满足求解条件时,就“回溯”返回,尝试别的路径。

设想把你放在一个迷宫里,想要走出迷宫,最直接的办法是什么呢?
没错,试。先选一条路走起,走不通就往回退尝试别的路,走不通继续往回退,直到找到出口或所有路都试过走不出去为止。

回顾深度优先搜索

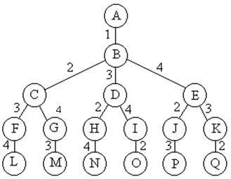
左图是一个无向图,从点1开始的DFS过程可能是下图右的情况,其中实线表示搜索时的路径,虚线表示返回时的路径:

DFS

基本思想与策略

在包含问题的所有解的解空间树中,按照深度优先搜索的策略,从根结点出发深度探索解空间树。
当探索到某一结点时,先判断该结点是否包含问题的解:

  • 包含:从该结点出发继续探索下去。
  • 不包含:逐层向其祖先结点回溯。

回溯法就是对隐式图的深度优先搜索算法。

  • 求问题的所有解时,要回溯到根,且根结点的所有可行的子树都已被搜索遍才结束。
  • 求任一个解时,只要搜索到问题的一个解就可以结束。

求解的基本步骤

  1. 针对所给问题,定义问题的解空间;
  2. 确定易于搜索的解空间结构;
  3. 以深度优先方式搜索解空间,并在搜索过程中用剪枝函数避免无效搜索。

子集树与排列树

下面的两棵解空间树是回溯法解题时常遇到的两类典型的解空间树。

(1)从n个元素的集合S中找出满足某种性质的子集(相应的解空间树称为子集树)。

子集树

如:0-1背包问题(如上图)所相应的解空间树就是子集树,这类子集树通常有$2^n$个叶结点,其结点总个数为$2^n+1 -1$。遍历子集树的算法需时间O($2^n$)。

(2)确定n个元素满足某种性质的排列(相应的解空间树称为排列树)。

排列树

如:旅行售货员问题:

某售货员要到4个城市去推销商品,已知各城市之间的路程,请问他应该如何选定一条从城市1出发,经过每个城市一遍,最后回到城市1的路线,使得总的周游路程最小?

旅行售货员问题

该题的解空间树就是排列树,这类排列树通常有n!个叶结点。遍历子集树的算法需时间O(n!)。

基本框架

1
2
3
4
5
6
7
8
9
10
11
12
13
14
15
16
17
18
19
20
21
22
23
24
25
26
27
28
29
30
31
32
33
34
35
36
37
class BackTrack {
// 原空间
public static int[] originalCurrentAnswer;

public BackTrack(int[] originalCurrentAnswer) {
BackTrack.originalCurrentAnswer = originalCurrentAnswer;
}

/*
* 回溯法
* @param currentAnswer 当前解空间
* @param currentDepth 当前搜索深度
* @param args 其他参数
*/
public static void backTrack(int[] currentAnswer, int currentDepth, String[] args) {
// 判断当前的部分解向量
// currentAnswer[1...currentDepth]是否是一个符合条件的解
if (isAnswer(currentAnswer, currentDepth, args)) {
// 对于符合条件的解进行处理,通常是输出、计数等
dealAnswer(currentAnswer, currentDepth, args);
} else {
// 根据当前状态,构造这一步可能的答案
int[] possibleAnswer = buildPossibleAnswer(currentAnswer, currentDepth, args);
int possibleAnswerLength = possibleAnswer.length;
for (int i = 0; i < possibleAnswerLength; i++) {
currentAnswer[currentDepth] = possibleAnswer[i];
// 前者将采取的选择更新到原始数据结构上,后者把这一行为撤销。
make(currentAnswer, currentDepth, args);
// 剪枝
if (pruning(currentAnswer, currentDepth, args)) {
backTrack(currentAnswer, currentDepth + 1, args);
}
unmake(currentAnswer, currentDepth, args);
}
}
}
}

经典题型

求集合的所有子集

集合的所有子集

对于每个元素都有选和不选两种路径(1选,0不选)
解空间就是集合选与不选的状态,这里初始是{0,0,0},也是问题的一个解,空集。
这里没有剪枝(具体问题具体加),直接就是深度搜索,直到当前深度等于集合的大小,就可以输出了。

1
2
3
4
5
6
7
8
9
10
11
12
13
14
15
16
17
18
19
20
21
22
23
24
25
26
27
28
29
30
31
32
33
34
35
36
37
38
39
40
41
42
43
44
45
46
47
48
class BackTrack {
public static int[] originalCurrentAnswer;

public BackTrack(int[] originalCurrentAnswer) {
BackTrack.originalCurrentAnswer = originalCurrentAnswer;
}

public static void backTrack(int[] currentAnswer, int currentDepth) {
if (isAnswer(currentAnswer, currentDepth)) {
dealAnswer(currentAnswer, currentDepth);
} else {
int[] possibleAnswer = buildPossibleAnswer(currentAnswer, currentDepth);
int possibleAnswerLength = possibleAnswer.length;
for (int i = 0; i < possibleAnswerLength; i++) {
currentAnswer[currentDepth] = possibleAnswer[i];
backTrack(currentAnswer, currentDepth + 1);
}
}
}

private static boolean isAnswer(int[] currentAnswer, int currentDepth) {
// 当前搜索深度已达到原空间的深度
return currentDepth == originalCurrentAnswer.length;
}

/*
* 按位对应
* 如集合A={a,b}
* 对于任意一个元素,在每个子集中,要么存在,要么不存在
* 映射为子集:
* (1,1)->(a,b) (1,0)->(a) (0,1)->(b) (0,0)->空集
*/
private static int[] buildPossibleAnswer(int[] currentAnswer, int currentDepth) {
// 选or不选即 1, 0
int[] isChosen = { 1, 0 };
return isChosen;
}

private static void dealAnswer(int[] currentAnswer, int currentDepth) {
for (int i = 0; i < currentDepth; i++) {
// 如果选,则输出
if (currentAnswer[i] == 1) {
System.out.print(originalCurrentAnswer[i] + " ");
}
}
System.out.println();
}
}

求全排列

全排列

交换两个位置的值,然后进入下一个深度,直到当前深度达到序列的长度。

1
2
3
4
5
6
7
8
9
10
11
12
13
14
15
16
17
18
19
20
21
22
23
24
25
26
public static void backTrack(char[] currentAnswer, int currentDepth, int length) {
if (currentDepth == length) {
System.out.println(new String(currentAnswer));
} else {
for (int i = currentDepth; i < length; i++) {
if (isUnique(currentAnswer, currentDepth, i)) { // 剪枝(去重)
swap(currentAnswer, currentDepth, i); // 交换元素
backTrack(currentAnswer, currentDepth + 1, length);
swap(currentAnswer, currentDepth, i); // 还原
}
}
}
}

private static boolean isUnique(char[] currentAnswer, int currentDepth, int k) {
for (int i = currentDepth; i < length; i++)
if (currentAnswer[i] == currentAnswer[k])
return false;
return true;
}

private static void swap(char[] currentAnswer, int m, int n) {
char tmp = currentAnswer[n];
currentAnswer[n] = currentAnswer[m];
currentAnswer[m] = tmp;
}

八皇后问题

将八个皇后摆在一张8*8的国际象棋棋盘上,使每个皇后都无法吃掉别的皇后,一共有多少种摆法?

在国际象棋中,皇后是最强大的一枚棋子,可以吃掉与其在同行、同列和同斜线的敌方棋子

一种可能的情况:

八皇后问题

  1. 从空棋盘起,逐行放置棋子。
  2. 每在一个布局中放下一个棋子,即推演到下一个新的布局。
  3. 如果当前行上没有可合法放置棋子的位置,则回溯到上一行,重新布放上一行的棋子。
1
2
3
4
5
6
7
8
9
10
11
12
13
14
15
16
17
18
19
20
21
22
23
24
25
26
27
28
29
30
31
32
33
34
35
36
37
38
39
40
41
42
43
44
45
46
47
48
49
50
51
52
53
54
55
class BackTrack {
public static int count = 0;
public static int DIM;

public BackTrack(int DIM) {
BackTrack.DIM = DIM;
}

public static void backTrack(int[][] chess, int row, int[] isColumnCollision) {
if (isAnswer(row)) {
dealAnswer(chess);
} else {
for (int i = 0; i < DIM; i++) {
// 同列存在皇后
// 或同对角线存在皇后
// 因为每次都是新的一行,所以不用检查行是否存在皇后
if (isColumnCollision[i] == 1 || isDiagonalCollision(chess, row, i))
continue;
chess[row][i] = 1;
isColumnCollision[i] = 1;
backTrack(chess, row + 1, isColumnCollision);
chess[row][i] = 0;
isColumnCollision[i] = 0;
}
}
}

// 同对角线是否冲突
private static boolean isDiagonalCollision(int[][] chess, int x, int y) {
// 以当前皇后坐标为起点,到左上角的对角线
for (int i = x - 1, j = y - 1; i >= 0 && j >= 0; i--, j--)
if (chess[i][j] == 1)
return true;
// 到右上角的对角线
for (int i = x - 1, j = y + 1; i >= 0 && j < DIM; i--, j++)
if (chess[i][j] == 1)
return true;
return false;
}

private static boolean isAnswer(int row) {
return row == DIM;
}

private static void dealAnswer(int[][] chess) {
count += 1;
for (int i = 0; i < DIM; i++) {
for (int j = 0; j < DIM; j++) {
System.out.print(chess[i][j] + " ");
}
System.out.println();
}
System.out.println();
}
}

参考回溯法与八皇后问题

火力网问题

在一个n*n的网格里,每个网格可能为“墙壁”(用x表示)和“街道”(用o表示)。现在在街道放置碉堡,每个碉堡可以向上下左右四个方向开火,子弹射程无限远。墙壁可以阻挡子弹。问最多能放置多少个碉堡,使它们彼此不会互相摧毁。

如下图,墙壁用黑正方形表示,街道用空白正方形表示,圆球就代表碉堡。

火力网问题

1、2、3可行,4、5不可行。因为4、5的两个碉堡同行、同列,他们会互相攻击。

类似八皇后问题

参考回溯算法(解火力网问题)

Author

Zoctan

Posted on

2018-02-21

Updated on

2023-03-14

Licensed under